곡선의 변형
B-spline곡선의 변형은 아래의 조작으로 가능하다.
● 매듭 벡터의 변경
● basis함수의 차수 변경
● 제어점의 위치 변경
● 중복된 제어점 사용
● 중복된 매듭 값 사용
우리는 basis함수의 값을 계산해내는 과정을 알아보았다.
인자로 넘겨준 $u$가 속하는 매듭 구간도 구했고 거기서부터 차수를 $0$에서부터 $p$까지 증가시키면서 basis함수도 구했다.
제어점의 이동
제어점의 이동은 B-spline곡선의 모양을 변형하는 한 방법이 된다.
제어점 $P_k$을 이동시키면 B-spline곡선 $C(u)$중 매듭 구간 $[U_k,U_{k+1})$에 속하는 부분만 변형이 된다.
(나머지 구간에서의 B-spline곡선은 0이 되기 때문에 이동에 의한 변형은 생기지 않는다.)
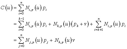
조금 더 자세히 살펴보자면 제어점이 이동되어지는 벡터의 방향으로 곡선이 변형이 된다. $P_k$가 새로운 위치 $P_{k+v}$로 이동되었다면,
이 된다.
기존의 곡선에서 $N_k,p(u)v$만큼 이동된다는 것을 알 수 있다.
하지만 여기서 $u$가 매듭 구간 $[U_k,U_{k+1})$에 속하지 않는다면 곡선의 변형은 없을 것이다.
B-spline곡선의 변형은 아래의 조작으로 가능하다.
● 매듭 벡터의 변경
● basis함수의 차수 변경
● 제어점의 위치 변경
● 중복된 제어점 사용
● 중복된 매듭 값 사용
우리는 basis함수의 값을 계산해내는 과정을 알아보았다.
인자로 넘겨준 $u$가 속하는 매듭 구간도 구했고 거기서부터 차수를 $0$에서부터 $p$까지 증가시키면서 basis함수도 구했다.
제어점의 이동
제어점의 이동은 B-spline곡선의 모양을 변형하는 한 방법이 된다.
제어점 $P_k$을 이동시키면 B-spline곡선 $C(u)$중 매듭 구간 $[U_k,U_{k+1})$에 속하는 부분만 변형이 된다.
(나머지 구간에서의 B-spline곡선은 0이 되기 때문에 이동에 의한 변형은 생기지 않는다.)
조금 더 자세히 살펴보자면 제어점이 이동되어지는 벡터의 방향으로 곡선이 변형이 된다. $P_k$가 새로운 위치 $P_{k+v}$로 이동되었다면,
이 된다.
기존의 곡선에서 $N_k,p(u)v$만큼 이동된다는 것을 알 수 있다.
하지만 여기서 $u$가 매듭 구간 $[U_k,U_{k+1})$에 속하지 않는다면 곡선의 변형은 없을 것이다.



댓글
댓글 쓰기